An emergent constraint on the thermal sensitivity of photosynthesis and greenness in the high latitude northern forests

Nature Portfolio 2 years ago

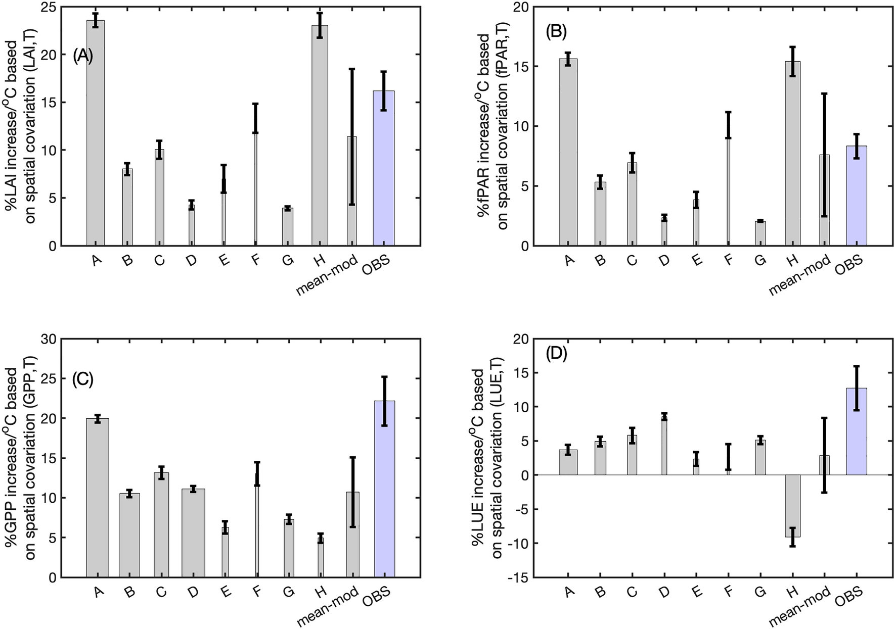
Scientific Reports - An emergent constraint on the thermal sensitivity of photosynthesis and greenness in the high latitude northern forests
→ View Full Article

layersDaily Sustainability Digest

Published about 6 hours ago



The UK’s latest report on decarbonising the built environment stresses the urgency of adopting whole life carbon strategies across design, procurement and operations. It identifies whole life carbon assessment, modular methods and renewable building materials as the backbone of sustainable construction. A shift toward sustainable building design is presented not as optional but as essential to reaching 2050 net zero whole life carbon targets. The analysis demonstrates how life cycle cost modelling and lifecycle assessment can guide both developers and local authorities to prioritise eco-design for buildings while minimising embodied carbon in materials.

This policy-driven focus coincides with on-the-ground implementation at scale. The new £120 million Avonmouth and Severnside flood mitigation scheme exemplifies green infrastructure in practice, integrating biodiversity restoration with climate resilience. By adopting nature-based solutions, the project highlights both the environmental sustainability in construction and the environmental impact of construction avoided when low-impact construction techniques replace conventional flood defences. It reinforces the alignment of sustainable urban development with circular construction strategies that protect communities while restoring ecosystems.

Materials innovation is reshaping supply chains across sectors with direct relevance to building lifecycle performance. Mercedes-Benz’s investment in low embodied carbon materials such as hydrogen-produced aluminium signals the reach of circular economy in construction principles into manufacturing and design. For construction leaders, the example underscores the potential of low carbon construction materials and low carbon design in cutting the carbon footprint of construction. These approaches allow specifiers to consider environmental product declarations (EPDs) and sustainable building practices as integral to material selection, ensuring a verifiable reduction of embodied carbon.

Uncertainty in policy has provoked industry concern. Proposals to loosen or repeal long-standing climate targets raise risks for net zero carbon buildings and carbon neutral construction. Without legislative continuity, early adopters of sustainable material specification, breeam certification and breeam v7 standards face obstacles in scaling best practice. The industry recognises that decarbonising the built environment depends not only on green building materials and eco-friendly construction, but also on supportive frameworks that provide the long-term certainty required for investment in sustainable design.

Corporate and investor scrutiny is further driving the sector towards transparency. Companies are increasingly pressured to view sustainability in terms of building lifecycle performance, life cycle thinking in construction, and resource efficiency in construction. Missteps in carbon footprint reduction will not go unnoticed when investors demand proof of low carbon buildings through robust lifecycle assessment. The study published this week stresses that environmental sustainability in construction is not a one-time achievement but a re-engineering of practice around sustainable architecture, end-of-life reuse in construction, and circular economy strategies that anchor green construction in measurable outcomes.

Momentum is clearly visible in the expansion of circular economy in construction systems. Reclaimed materials, adaptive reuse and sustainable building practices are expanding from pilot schemes into mainstream deployment. With eco-design for buildings advancing and sustainable construction gradually normalising across markets, the sector is shifting sustainable goals into tangible, energy-efficient buildings. Each project contributes to cutting the embodied carbon of the built environment, reaffirming confidence that low carbon building practices can evolve into the global benchmark for sustainability.

Show More

camera_altFeatured Instagram Posts:

Get your opinion heard:

Whole Life Carbon is a platform for the entire construction industry—both in the UK and internationally. We track the latest publications, debates, and events related to whole life guidance and sustainability. If you have any enquiries or opinions to share, please do get in touch.